Subiecte BAC 2022 proba la alegere: Bacalaureatul 2022 a continuat miercuri, 22 iunie, cu proba la alegere. Elevii au susținut examene la: Geografie, Biologie, Chimie, Fizică, Informatică, Logică, Economie, Filosofie, Psihologie, Sociologie.
Subiecte BAC 2022 proba la alegere. Ce au avut de rezolvat elevii la geografie, biologie, fizică și informatică
Elevii au primit subiectele la ora 9:00 și au avut la dispoziție trei ore pentru a le rezolva.
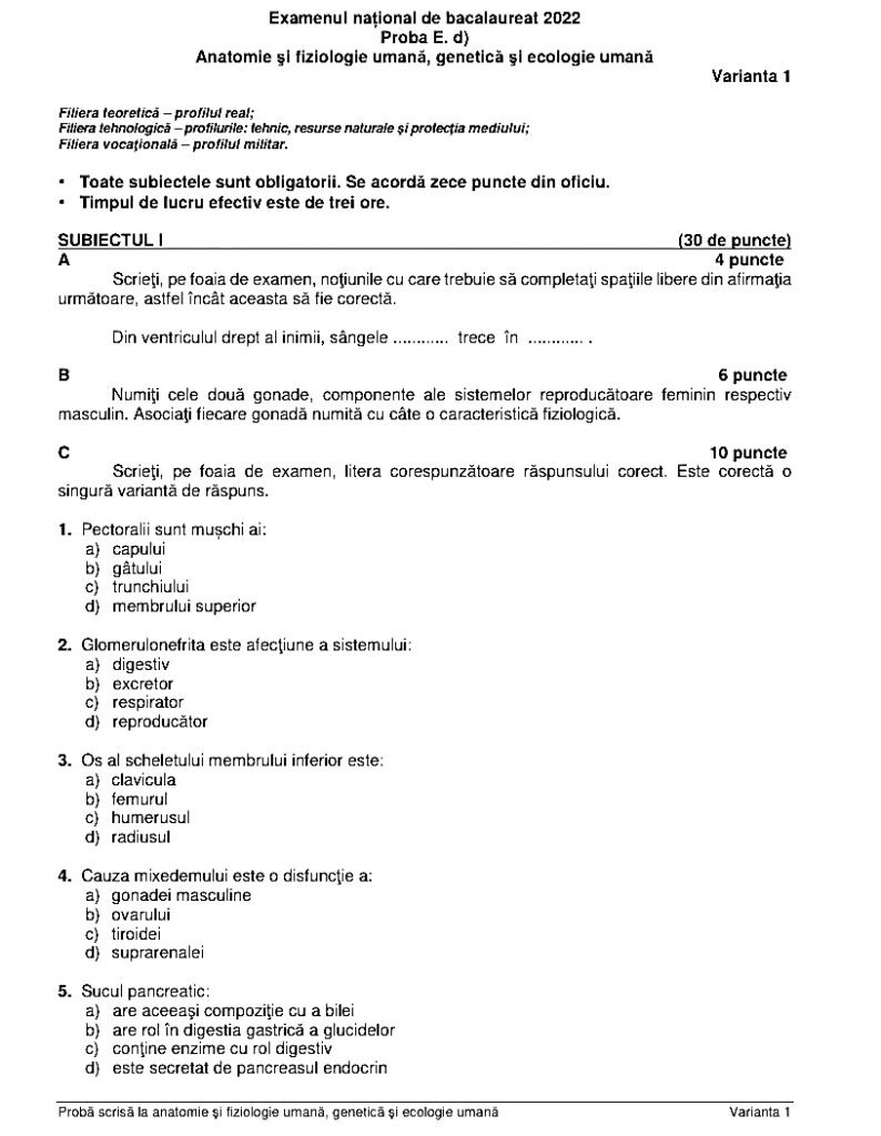
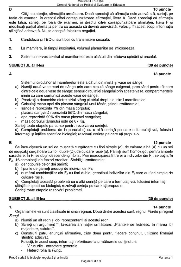
Subiecte anatomie:



Subiecte biologie



Subiecte chimie anorganică


Subiecte chimie organică

Subiecte fizică

Subiecte economie



Subiecte geografie




Subiecte informatică



Subiecte informatică, Științe ale naturii



Elevii de la liceele cu profilul umanist, specializările Filologie și Științe sociale, au putut alege între geografie, logică și argumentare, psihologie, economie, sociologie și filosofie.
Elevii de la licee cu profil Real, specializările Matematică-Informatică și Științe ale Naturii, au putut alege să susțină proba la fizică, chimie, biologie sau informatică.
Între timp, înainte de examenul de Bacalaureat 2022, Ministerul Educației a publicat modele de subiecte pentru toate materiile, inclusiv pentru examenul unde există o probă la alegere. Le puteți vedea aici.
Când se afișează rezultatele la Bacalaureat 2022
- 27 iunie 2022: Afișarea rezultatelor la probele scrise (până la ora 12:00)
- 27 iunie 2022: depunerea contestațiilor în intervalul orar 12:00 –18:00
- 28 – 30 iunie 2022: Rezolvarea contestațiilor
- 1 iulie 2022: Afișarea rezultatelor finale
Ce note trebuie să iei la BAC 2022 ca să promovezi
Media notelor de la probele scrise de la BAC se calculează ca medie aritmetică cu două zecimale și fără rotunjire. Această medie este cea generală a candidatului la examenului de bacalaureat. Pentru a promova examenul de Bacalaureat, elevii trebuie să îndeplinească trei condiții:
- Să susțină toate probele de evaluare a competențelor digitale și lingvistice.
- Să susțină toate probele scrise și să obțină cel puțin nota 5 la fiecare dintre ele.
- Media celor trei note de la probele scrise să fie cel puțin 6.
Ce urmează pentru elevii care nu promovează Bacalaureatul
Elevii care nu au reușit să promoveze Bacalaureatul se pot înscrie în sesiunea următoare a acestuia. Acestora le vor fi recunoscute în sesiunile următoare notele de la probele scrise unde au obținut cel puțin nota 5. Vezi aici calendarul sesiunii a doua a Bacalaureatului 2022.